2015年12月1日,廈門大學福州總醫院聯合邁阿密大學細胞移植中心糖尿病研究所在行業期刊《Diabetes Care》上發表了一篇名為“Umbilical Cord Mesenchymal Stromal Cell With Autologous Bone Marrow Cell Transplantation in Established Type 1 Diabetes: A Pilot Randomized Controlled Open-Label Clinical Study to Assess Safety and Impact on Insulin Secretion(臍帶間充質干細胞聯合自體骨髓細胞移植治療已確診的1型糖尿病:一項旨在評估安全性和對胰島素分泌影響的試點隨機對照開放標簽臨床研究)”的臨床研究成果。【1】

研究表明,臍帶間充質干細胞(UC-MSC)和自體骨髓單個核細胞(aBM-MNC)的移植是安全的,并且與已確診的1型糖尿病患者的代謝指標的適度改善有關。
什么是1型糖尿病?
1型糖尿病(T1D)病因難尋,治療有挑戰。強化胰島素治療雖能控制代謝、降低并發癥發病率并延緩進展,但維持正常血糖難且低血糖發作頻率會增加。迄今為止,旨在保持糖尿病發作時β細胞量的治療干預措施僅顯示出短暫而有限的療效,大多表現為胰島素分泌下降幅度較小但有所改善。實驗和臨床環境中的有希望的結果支持使用干細胞移植 (SCT) 或骨髓 (BM) 來源的造血干細胞 (HSC) 來治療自身免疫性糖尿病。
間充質干細胞(MSC)是多能干細胞,可從多種組織分離,其調節免疫反應和組織修復的能力已被證實,對治療1型糖尿病有吸引力。
- 有研究表明在糖尿病小鼠中移植骨髓細胞(BMC)和MSC可改善血糖、血清胰島素水平、組織再生和修復,聯合輸注有協同作用 【2】;
- 還有研究稱同時輸注分泌胰島素的脂肪來源的干細胞和骨髓來源的造血干細胞是安全可行的1型糖尿病治療選擇【3】。
同時越來越多的證據表明,在從1型糖尿病患者體內獲得的胰腺標本中,殘留β細胞量仍然存在,而且C肽的產生在確診數年之后仍然存在。這些觀察結果對于制定旨在恢復確診糖尿病患者功能的新干預措施的理論基礎具有重要影響。
基于這些前提,我們進行了一項初步的隨機對照開放標簽試驗,以研究在確診1型糖尿病患者中,在未進行免疫治療的情況下,聯合臍帶間充質干細胞(UC-MSC)和自體骨髓單核細胞(aBM-MNC)移植對代謝控制和安全性的潛在益處。
干細胞治療1型糖尿病患者42例,能夠極大改善患者代謝功能!
這項單中心試驗于2009年1月至2010年12月進行。研究方案經廈門大學附屬福州總醫院 (FGH) 機構審查委員會批準。納入標準為男女均等,年齡18–40歲,1型糖尿病病史≥2且≤16 年。
臨床試驗注冊號:NCT01374854。
方法:2009年1月至2010年12月期間,42名1型糖尿病患者隨機分配(n=21/組)接受干細胞移植(1.1×106/kg UC-MSC、106.8×106/kg aBM-MNC,通過超選擇性胰腺動脈插管)或標準治療(對照組)。每隔3個月對患者進行為期1年的隨訪。(如圖1)
主要終點:主要終點是1年口服葡萄糖耐量試驗期間的C肽曲線下面積 (AUCC-Pep)。其他終點包括手術的安全性和耐受性、代謝控制和生活質量。

結果
1.干細胞移植的治療效果
1年后,干細胞移植接受者的代謝指標有所改善。
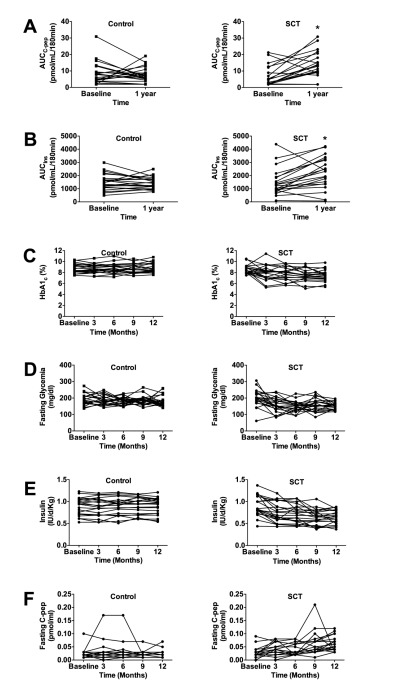
- 干細胞移植組21名患者中有15名患者(71.4%)在1年后AUCC-Pep水平從基礎值增加105.7%。相比之下,對照組21名患者中只有8名患者的AUCC-Pep水平下降7.7%。(圖2A和補充圖3A)
- 干細胞移植組患者的AUCIns從基礎值增加了49.3%,而對照組患者的AUCIns降低了5.7%。(圖2B補充圖2A)

- 干細胞移植后,HbA1c水平在 3、6、9和12個月時顯著下降,而在隨訪期間對照組的HbA1c水平保持穩定。干細胞移植組的HbA1c下降了12.6%,從8.6±0.81%至7.5±1.0% ,而對照組的HbA1c上升了1.2%,從8.7±0.9%。(圖2C和補充圖3C)
- 對照組的FBG在隨訪期間保持不變,而干細胞移植組在3、6、9和12個月時FBG顯著下降,且顯著低于對照組。12個月時,干細胞移植接受者的FBG下降24.4%,對照組下降4.3%。(圖2D和補充圖3D)
- 移植后3、6、9和12個月,干細胞移植組胰島素劑量需求逐漸顯著減少,而對照組胰島素需求保持不變,與 SCT 有顯著差異。干細胞移植組胰島素需求減少了29.2%,對照組胰島素需求保持不變。(圖2E和補充圖3E)
- 對照組空腹C肽水平基本無變化,而干細胞移植組在9個月和12個月時空腹C肽水平顯著升高,并且顯著高于對照組。將基線數據與12個月數據進行比較,發現干細胞組有所增加,21名患者中有20名(95.2%)有所改善,而對照組沒有變化。(圖2F及補充圖3F)

2.生活質量測量
基線時,兩組患者的焦慮和抑郁癥狀以及生活質量評分相似。12個月時,干細胞移植組(SCT)患者的焦慮和抑郁癥狀減少,生活質量評分改善,而對照組的這些指標沒有明顯變化(圖4)。

3.不良反應和安全性
干細胞移植組患者報告的嚴重低血糖事件低于對照組。在干細胞移植組中,1名患者在細胞移植期間出現一過性腹痛,但無后遺癥。另一名患者出現穿刺部位出血,局部加壓后出血消失。C 反應蛋白、白細胞計數、血紅蛋白、sCr 和丙氨酸氨基轉移酶均無明顯變化(數據未顯示)。在隨訪期間未觀察到惡性腫瘤等嚴重不良事件。(圖4)
討論
1型糖尿病的治療策略必須解決自身反應性宿主免疫系統以及胰腺β細胞修復和再生問題。大多數1型糖尿病臨床試驗都是在發病后不久的患者身上進行的,此時更有可能獲得臨床益處。然而,越來越多的證據表明,許多患者在確診數年后仍能維持一定水平的胰島素分泌,最近的一些試驗招募了確診后2年內的患者。
我們發現,在同種異體華通氏膠UC-MSC和aBM-MNC聯合移植后,胰島素分泌有所改善,胰島素需求減少,這表現為1年OGTT期間空腹C肽水平、AUCC-Pep(主要終點)和AUCIns顯著改善。
與基線和對照組相比,我們觀察到HbA1c、FBG和胰島素需求有所減少。雖然C肽的絕對變化很小,但考慮到研究患者的長期患病時間,這一變化相對顯著,其中許多患者的空腹C肽水平為零或幾乎檢測不到。
此外,靜脈輸注的干細胞會發生肺部首過效應,很可能被滯留在肺部 。因此,在本研究中,細胞是通過胰腺動脈注射的,以促進干細胞直接歸巢至胰腺。值得注意的是,我們沒有觀察到任何患者的淀粉酶水平異常,這表明胰腺動脈輸注是安全的。此外,患者的生活質量顯著改善,這可能反映了干細胞移植后代謝控制改善的積極影響。與方案相關的副作用較輕且是自限性的。
結論
綜上所述,這項研究確定了該方法的安全性,并證明了干細胞移植可能為已確診的1型糖尿病患者帶來代謝功能的顯著改善。令人鼓舞的結果指出了未來大規模試驗設計中應解決的一系列問題,以幫助改善臨床結果。
相關閱讀:了解更多關于干細胞治療1型糖尿病的新聞咨詢請點擊這里!
【1】Jinquan Cai, Zhixian Wu, Xiumin Xu, Lianming Liao, Jin Chen, Lianghu Huang, Weizhen Wu, Fang Luo, Chenguang Wu, Alberto Pugliese, Antonello Pileggi, Camillo Ricordi, Jianming Tan; Umbilical Cord Mesenchymal Stromal Cell With Autologous Bone Marrow Cell Transplantation in Established Type 1 Diabetes: A Pilot Randomized Controlled Open-Label Clinical Study to Assess Safety and Impact on Insulin Secretion. Diabetes Care 1 January 2016; 39 (1): 149–157. https://doi.org/10.2337/dc15-0171
【2】Urbán?VS, Kiss?J, Kovács?J, et al. Mesenchymal stem cells cooperate with bone marrow cells in therapy of diabetes. Stem Cells?2008;26:244–253
【3】Thakkar?UG,?Trivedi?HL,?Vanikar?AV,?Dave?SD.?Insulin-secreting adipose-derived mesenchymal stromal cells with bone marrow-derived hematopoietic stem cells from autologous and allogenic sources for type 1 diabetes mellitus.?Cytotherapy?2015;17:940–947
免責說明:本文僅用于傳播科普知識,分享行業觀點,不構成任何臨床診斷建議!杭吉干細胞所發布的信息不能替代醫生或藥劑師的專業建議。
版權說明:本文來自杭吉干細胞科技內容團隊,歡迎個人轉發至朋友圈,謝絕媒體或機構未經授權以任何形式轉載至其他平臺,轉載授權請在網站后臺下方留言獲取。
掃碼添加官方微信