干細胞治療腺體功能障礙的背景與意義:腺體功能障礙性疾病——包括干燥綜合征、口干癥和1型糖尿病,共同構成了現代醫學面臨的一系列復雜挑戰。這類疾病在病理學上表現為外分泌腺(如唾液腺、淚腺)或內分泌腺(如胰島β細胞)的功能進行性喪失,導致患者生活質量顯著下降,甚至危及生命。傳統治療手段如人工淚液、唾液替代品或胰島素注射,雖能在一定程度上緩解癥狀,卻如同“隔靴搔癢”,治標不治本,無法觸及疾病的核心病理機制:自身免疫攻擊導致的腺體組織損傷和再生功能障礙。
干細胞治療腺體功能障礙安全有效:改善干燥癥、口干癥及1型糖尿病癥狀
在這一背景下,干細胞治療以其獨特的“雙重修復機制”——免疫調節與組織再生能力——為腺體功能障礙患者帶來新的曙光。過去十年間,再生醫學領域取得了突破性進展,從基礎研究到臨床試驗的轉化速度令人矚目。全球范圍內,已有超過60項干細胞臨床研究項目完成備案,其中針對腺體功能障礙的治療方案占據了顯著比例。特別是間充質干細胞(MSCs)及其衍生技術,在恢復腺體分泌功能、重建免疫穩態方面展現出驚人潛力,為近7000萬中國的干燥綜合征患者及數百萬1型糖尿病患者提供了擺脫終身替代治療的希望。

三大腺體功能障礙疾病的治療現狀
干燥綜合征(Sj?gren’s Syndrome, SS)作為典型的自身免疫性外分泌腺病,其臨床特征為口眼干燥、疲勞及多系統損害。流行病學數據顯示,我國干燥綜合征患病率約為0.29%–0.77%,且呈現明顯的性別失衡——女性患者占比高達90%以上。
該病本質是免疫系統對唾液腺和淚腺等外分泌腺的“誤攻擊”,導致腺體結構破壞和分泌功能衰竭。傳統治療依賴于免疫抑制劑(如羥氯喹)和促分泌藥物(如毛果蕓香堿),但這些手段僅能暫時緩解癥狀,難以阻斷疾病進展軌跡。尤其令人憂慮的是,約5–10%的原發性干燥綜合征患者可能進展為淋巴瘤,凸顯了開發治本之策的緊迫性。
1型糖尿病則代表了內分泌腺功能障礙的極端表現。這種“甜蜜的殺手”源于免疫系統對胰島β細胞的精準破壞,導致胰島素分泌絕對不足。全球近5億糖尿病患者中,1型糖尿病雖占少數,卻因其起病早、依賴終身胰島素治療的特點,給患者帶來沉重負擔。胰島移植雖能部分恢復內源性胰島素分泌,卻面臨供體匱乏和免疫排斥兩大“攔路虎”。
中國學者在這一領域的開拓性工作取得重大突破——2023年6月,一名25歲女性接受了自體重編程干細胞生成的胰島細胞移植,術后不到三個月即實現胰島素自主分泌,擺脫了外源性胰島素依賴。當她在隨訪中輕松說出“我現在可以吃糖了”時,這句話背后承載的不僅是個人生命的解放,更是一個醫學新時代的曙光。
口干癥雖然常作為干燥綜合征的核心癥狀出現,但也可能作為獨立疾病存在。重度口干患者往往“飲水如灌沙”,連基本的口腔功能都難以維持,夜間需反復起床飲水,齲齒發生率達100%。這種看似“不致命”的癥狀,實則是吞噬生活質量的無形黑洞。傳統療法如唾液刺激劑和替代品,效果有限且需反復使用。
而干細胞療法通過腺體靶向修復,正試圖從源頭上解決這一頑疾——國內臨床試驗中,35例患者接受脂肪組織干細胞(ADSCs)注射后,唾液流率在3個月內即顯著提升,使患者得以“重拾味覺之悅”。
干細胞治療干燥癥的臨床案例
研究設計與分組:2024年,Moller-Hansen等人進行了一項“異基因間充質干細胞療法治療干燥綜合征患者干眼癥:一項隨機臨床試驗”的研究納入了54名干燥綜合征繼發的嚴重干眼癥患者。

患者被分為三組:自體脂肪來源干細胞(AASC)治療組(n=20)、陽性對照藥物組(n=20)和非隨機觀察組(n=14)。干預組(AASC組和陽性對照組)僅在一只眼(研究眼)的淚腺接受單次注射相應藥物,而觀察組僅使用潤滑眼藥水(圖1)。主要評估指標是眼表疾病指數(OSDI)評分的變化,次要指標包括多項干眼客觀檢查。

OSDI評分變化(主要終點):研究開始時,所有患者OSDI評分中位數為46.7,三組間無顯著差異。治療后,AASC組和陽性對照組均觀察到OSDI評分在1周內出現顯著且大幅下降(分別平均下降16.6分/-41.6% 和 21.2分/-43.2%),這種改善效果持續保持至12個月隨訪結束(分別下降16.1分/-40.4% 和 20.8分/-42.4%)。相比之下,觀察組在12個月內OSDI評分無顯著變化。
干預效果對比與次要指標(淚液分泌):在降低OSDI評分方面,AASC組與陽性對照組的效果無顯著差異,但兩組均顯著優于觀察組。在淚液分泌試驗(Schirmer試驗)方面,基線時各組研究眼的淚液分泌均很低(中位數3mm)。治療后,AASC組和陽性對照組在4個月時淚液分泌量均顯著增加(平均分別增加3.55mm/+125% 和 3.8mm/+115%),并維持至12個月。
次要指標(淚液滲透壓)與總體結論:?基線時研究眼淚液滲透壓中位數為314 mosm/L,組間無差異。AASC組在12個月時淚液滲透壓顯著下降(平均-12.38 mosm/L/-3.9%),且其下降幅度在4個月和12個月時均顯示出優于陽性對照組的趨勢(接近顯著)。總體而言,淚腺注射AASC或陽性對照藥物后,兩個干預組患者干眼癥的主觀癥狀(OSDI)和客觀體征(淚液分泌量增加、滲透壓下降)均較僅使用潤滑劑的觀察組獲得顯著改善。
干細胞治療口干癥的臨床案例
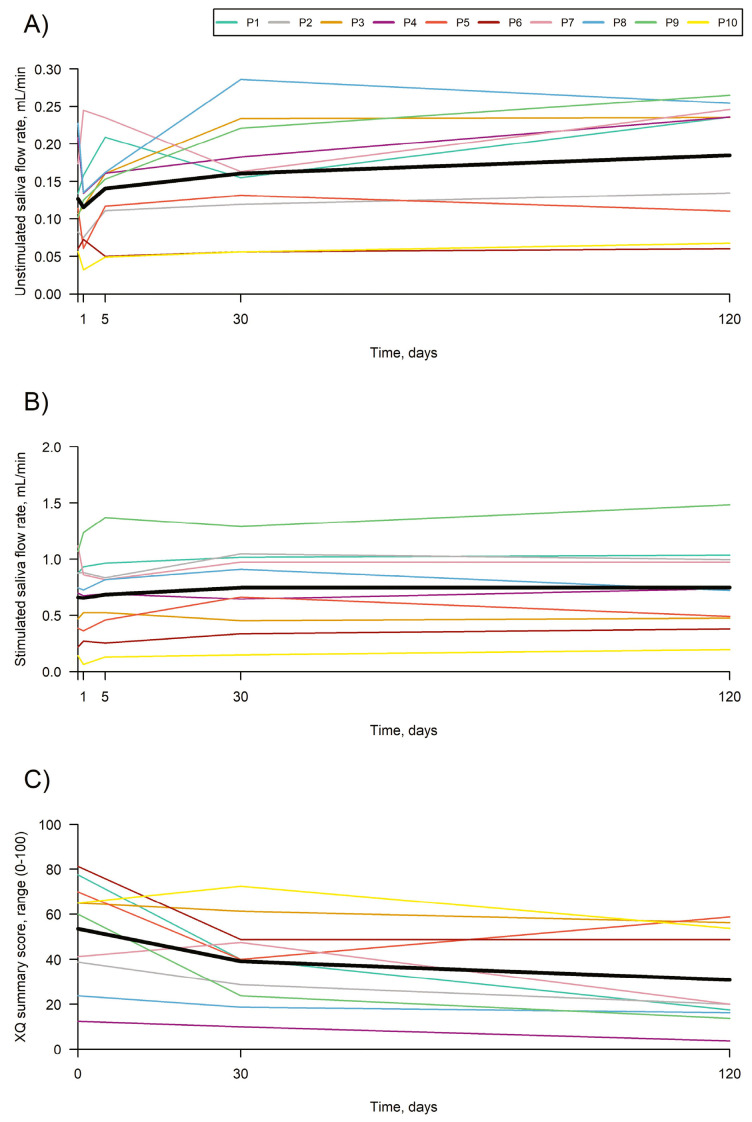
研究目的與設計:?2022年,Lynggaard等人開了一項“腺內現成異基因間充質干細胞治療放射誘導性口干癥患者:一項安全性的研究”旨在為放射治療導致唾液腺損傷的患者,提供自體脂肪來源干細胞(AASC)注射治療的安全性和有效性初步證據(概念驗證)。

研究對象為曾接受I-II期口咽癌治療、存在客觀和主觀唾液腺損傷證據的患者。治療方法是在每位患者的四個主要唾液腺(兩個頜下腺和兩個腮腺)中注射AASC,其中頜下腺各注射2500萬個細胞,腮腺各注射5000萬個細胞。
安全性與有效性結果:研究納入了10名患者(平均年齡59.5歲),所有患者均接受了四個腺體的注射治療。結果顯示,該治療具有良好的安全性,未報告與治療相關的嚴重不良事件。在有效性方面,治療顯著改善了唾液分泌功能:4個月內,非刺激唾液流速從基線0.13毫升/分鐘顯著增加至0.18毫升/分鐘(增加0.06毫升/分鐘,p=0.0009),刺激唾液流速從0.66毫升/分鐘增加至0.75毫升/分鐘(增加0.09毫升/分鐘,p=0.017)。
生活質量改善與結論:患者報告的干口癥狀和生活質量也得到顯著改善。口干癥問卷總結分數顯著下降22.6個單位(p=0.0004)。在EORTC QLQ-H&N35量表中,口干領域評分下降26.7個單位(p=0.0013),唾液粘稠評分下降23.3個單位(p=0.0015),吞咽困難評分下降10.0個單位(p=0.0016)。這些結果表明,向主要唾液腺注射AASC對于改善放射治療引起的唾液腺損傷相關癥狀和功能是一種潛在的安全且有效的方法(圖2)。

2024年,Jakobsen等人進行了一項“間充質干細胞/基質細胞療法治療既往頭頸癌患者放射誘導性口干癥:一項II期隨機安慰劑對照試驗”。

納入了120名接受AASC治療的患者,結果顯示其在四個月內未刺激狀態下的全唾液流速 (UWS) 增加了 0.04 mL/min(38%),而安慰劑組的增長幅度較小,僅為0.01mL/min(21%),且無統計學意義。總體而言,AASC 組有 13 名患者(21.7%)達到正常唾液流速(≥0.26 mL/min),而安慰劑組僅有 8 名患者(13.3%)。盡管有這些改善,但兩組唾液功能差異無統計學意義(p?= 0.11)。
次要終點方面,兩組均未觀察到刺激性唾液流速 (SWS) 的顯著改善。就患者報告結果而言,AASC 組和安慰劑組均顯示癥狀減輕,尤其是在口干和唾液粘稠方面。AASC 組的口干癥狀減少了13.6個單位,唾液粘稠減少了14.8個單位。相比之下,安慰劑組的口干癥狀減少了7.7個單位,唾液粘稠減少了9.3個單位。然而,這些減少并未導致兩組患者報告的癥狀出現統計學上的顯著差異。
安全性方面,本研究未出現治療相關的嚴重不良事件 (SAE),但AASC組有9名患者出現暫時性頜下腺腫脹,并在 3 周內消退。此外,AASC 組 31% 的患者出現了新的人類白細胞抗原 (HLA) 抗體,這可能影響了整體療效,因為出現新 HLA 抗體的患者唾液流速增幅往往較小(圖3)。

總之,ASC 療法改善了唾液功能并減輕了口干癥癥狀,盡管這種改善并不顯著優于安慰劑組。
干細胞治療1型糖尿病的臨床案例
研究目的與分組:2020年,Araujo等人進行了一項”同種異體脂肪組織來源的基質/干細胞和維生素D補充治療近期發病的1型糖尿病患者:一項為期3個月的隨訪先導研究”。

該研究評估了脂肪組織來源的同種異體干細胞(AASC)聯合維生素D治療新近確診1型糖尿病(T1D)患者的安全性和初步療效。
研究納入了13名患者:8名患者接受單次靜脈注射AASC(劑量為1×10?細胞/千克體重)并輔以三個月的維生素D補充(2000 IU/天),而另外5名患者則僅接受標準的胰島素治療作為對照組。
安全性結果:治療總體上被認為是安全的,報告的不良事件通常輕微且短暫。在AASC組的所有8名患者中,最常見的是短暫性頭痛(100%)和輕微局部反應(88%)。其他不良反應包括心動過速(50%)、腹部絞痛(13%)、淺表局部血栓性靜脈炎(50%)以及短暫性“飛蚊癥”(25%)。值得注意的是,有1例患者在3個月時發生了中央視網膜靜脈阻塞,但癥狀最終完全緩解。
胰腺功能(C肽)變化:研究開始時,AASC組的空腹C肽(CP)水平顯著高于對照組。干預一個月后,這種差異仍然存在且顯著。然而,到三個月時,雖然AASC組的CP水平仍高于對照組,但差異已不再具有統計學意義(p=0.06)。這提示干預初期可能對殘余β細胞功能有潛在影響,但這種差異隨時間推移而減弱。
血糖控制改善與臨床結局:AASC治療顯著改善了患者的血糖控制。與對照組胰島素劑量增加的趨勢不同,AASC組的胰島素需求量在三個月內顯著減少。同時,AASC組的HbA1c水平在三個月時顯著低于對照組。最顯著的臨床發現是:AASC組所有患者(100%)在三個月時都進入了糖尿病“蜜月期”(此階段胰島素需求極低甚至無需外源胰島素),而對照組無一人進入蜜月期(p=0.01)。此外,AASC組中有兩名患者分別暫時脫離胰島素依賴達4周和8周。這些結果表明AASC聯合維生素D治療可能對新發T1D患者具有臨床益處(圖4)。

(A) 在ASC輸注前 (T0) 和三個月后 (T3) 測量的HbA1C水平。第1組的HbA1C水平顯著低于第2組 (p=0.03)。(B) 在 ASC 輸注前 (T0) 和三個月后 (T3) 所需的胰島素劑量。第1組所需的胰島素劑量顯著低于第2組 (p=0.01)。(C) 在 ASC 輸注前 (T0) 和三個月后 (T3) 測量的C肽AUC。第1組和第2組的C肽AUC沒有顯著差異 (p=0.06)。圖中的星號表示兩組之間存在統計學上的顯著差異。
這項研究表明,使用源自脂肪組織的同種異體干細胞并結合維生素D,可緩解新診斷的1型糖尿病(T1D)患者的短暫性副作用,改善血糖控制,并顯著降低胰島素需求。這些結果提示其具有良好的治療潛力,但需要更大規模、更長期隨訪的研究來證實這些發現。
結論
雖然短期癥狀緩解(淚液和唾液流量、OSDI評分)似乎可重復,但劑量、給藥途徑和同期治療的差異會導致顯著的異質性。需要更長期的數據和頭對頭比較,以明確療效的持久性和最佳方案。
免責說明:本文僅用于傳播科普知識,分享行業觀點,不構成任何臨床診斷建議!杭吉干細胞所發布的信息不能替代醫生或藥劑師的專業建議。如有版權等疑問,請隨時聯系我。
掃碼添加官方微信