“脊髓損傷后導致的癱瘓還能不能恢復?”這是幾乎所有患者及其家屬都會反復追問的問題。
對他們而言,癱瘓遠不止是“不能行走”那么簡單。它意味著身體的一部分仿佛進入了“靜默區”——感覺變得模糊或徹底消失,基本的排尿排便需要艱難重新學習,惱人的慢性疼痛可能成為常客,而生活的每一個細節,從移動到自理,都需要徹底的重構與適應。
在傳統治療手段效果有限的背景下,醫學界從未停止尋找新的曙光。近年來,隨著干細胞生物學與再生醫學的突破性進展,一個充滿可能性的新答案正逐漸從實驗室走向臨床視野:干細胞療法,是否有望重啟被中斷的神經連接,為改善癱瘓帶來實質性的希望?

脊髓損傷導致的癱瘓,干細胞療法真的有改善可能嗎?
一、脊髓損傷為什么會導致癱瘓?
脊髓,作為連接大腦與身體各部位的“信息高速公路”,一旦受損,神經信號的傳遞便會中斷。這種中斷不僅僅是機械性的通道阻塞,更引發了一系列復雜的生理病理變化。
當脊髓受損后,損傷平面以下的感覺和運動功能會出現部分或完全喪失,這就是我們常說的癱瘓。根據損傷程度,醫學上將其分為完全性損傷和不完全性損傷兩大類型。
完全性損傷指脊髓完全橫斷,損傷平面以下的所有感覺和運動功能完全喪失;而不完全性損傷則意味著脊髓部分受損,還可能保留部分功能。
除了運動功能的喪失,脊髓損傷還會導致一系列嚴重問題:自主神經功能障礙影響血壓調節和排汗;血液循環障礙增加血栓風險;而繼發性損傷則可能使初始損傷范圍進一步擴大。
這些因素共同作用,使脊髓損傷的修復變得異常復雜。
二、傳統治療的局限:穩定而非治愈
面對脊髓損傷,傳統治療手段主要包括手術減壓、內固定、藥物治療和康復訓練等。這些方法的主要目標是穩定脊柱、減輕壓迫和控制并發癥,而非實現神經再生。
對于完全性脊髓損傷,傳統治療的效果尤為有限。一旦脊髓神經發生壞死,相應的運動功能、感覺功能和自主神經功能將完全喪失,傳統方法難以實現根本性的功能恢復。
即使對于不完全性損傷患者,傳統治療雖能帶來一定程度的恢復,但往往也難以讓患者完全回歸正常生活。康復訓練可以幫助患者最大程度利用剩余神經功能,提高生活自理能力,但無法替代已死亡的神經細胞。
傳統治療最大的局限在于其無法實現神經細胞的再生與重建。正如一位專家所指出的:“完全性脊髓損傷治愈的可能性較低,目前的醫療手段難以讓完全斷裂的神經纖維完全恢復原有功能。”
三、干細胞療法為什么被認為能夠改善癱瘓?
干細胞療法的出現,正是為了挑戰再生這一核心難題。它不再局限于保護殘存組織,而是主動提供修復的“種子”和“工具”。其潛在機制是多管齊下的:
1.細胞替代與整合:理論上,干細胞可以分化為新的神經元或支持細胞(如少突膠質細胞),替代損傷區丟失的細胞,并嘗試與宿主神經網絡建立新的連接,直接“搭橋”。
2.神經營養支持:移植的干細胞像一個高效的“生物藥廠”,持續分泌多種神經營養因子、生長因子,為殘存的神經細胞提供營養支持,增強其存活能力。
3.調節免疫與微環境:這是目前被認為最關鍵的作用之一。干細胞具有強大的免疫調節功能,能抑制損傷區有害的炎癥反應,減少繼發性損傷。同時,它們能中和抑制性物質,調節膠質疤痕的特性,將阻礙再生的“荒地”改造為適合神經生長的“沃土”。
4.促進髓鞘再生:分化或誘導產生的少突膠質前體細胞,可以為裸露的軸突重新包裹上髓鞘,恢復神經信號的“絕緣性”,加快電傳導速度。
四、臨床效果:目前能看到哪些改善?
Ⅱ期臨床試驗顯示:干細胞聯合治療可改善完全性脊髓損傷癱瘓患者的自主神經功能
2024年11月25日,伊朗德黑蘭Shahid Beheshti醫科大學在國際知名期刊《世界神經外科》上發表了一項Ⅱ期臨床試驗,評估自體骨髓間充質干細胞聯合雪旺細胞治療完全性脊髓損傷患者癱瘓相關功能的臨床效果。[1]

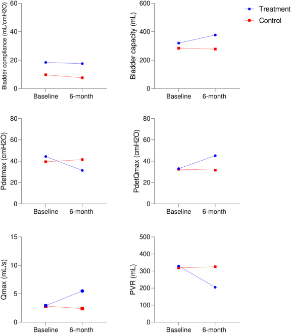
P detQmax是指最大尿流率時膀胱逼尿肌壓力。Q max是最大尿流率。PVR指的是排尿后殘余尿量。P detmax指的是最大逼尿肌壓力。
該研究共納入32例完全性脊髓損傷(ASIA A)患者,所有患者均合并不同程度的神經源性膀胱功能障礙。治療組接受一次性鞘內注射自體骨髓間充質干細胞與雪旺細胞,對照組未接受細胞干預。最終,治療組13例、對照組16例完成6個月隨訪。
注射后6個月,在注射后6個月,治療組多項與癱瘓密切相關的自主神經功能指標出現顯著改善。治療組的P detQmax、Q max與基線相比顯著增加,PVR和P detmax與基線相比顯著降低;(圖1)
膀胱順應性變化、PVR、P detmax、P detQmax、Q max在6個月后治療組和對照組之間有顯著差異;
- 治療6個月后膀胱容量增加;
- 治療組有23.1%患者膀胱感覺改善而對照組無,
- 治療組3名患無反射型神經源性膀胱患者中有2名(66.7%)6個月后出現逼尿肌活動過度,對照組3名患無反射型NGB患者中未觀察到這種變化。(圖1)
此外與對照組相比,治療組每天平均尿失禁發作次數也顯著減少。

治療6個月后,治療組和對照組的I – QOL總分變化差異顯著,且I-QOL問卷的3個領域(回避行為、社會心理影響、社交尷尬)注射后6個月治療組相比對照組均有明顯改善。(圖2)

不良反應:本研究觀察到的不良事件包括神經性疼痛、疲勞、感覺異常和痙攣。在報告的不良事件中,只有3名患者報告的感覺異常可能與干預有關。
研究結論認為:自體骨髓間充質干細胞聯合雪旺細胞的鞘內注射,在完全性脊髓損傷患者中具有良好的安全性,并可在一定程度上改善癱瘓相關的自主神經功能,為干細胞干預脊髓損傷提供了臨床依據。
真實世界探索:干細胞移植為脊髓損傷癱瘓患者帶來運動功能改善信號
2025年3月6日,西安醫院正式啟動了西北地區首個中樞神經損傷干細胞項目。該項目旨在通過間充質干細胞移植治療脊髓損傷,標志著從“不可逆”損傷到“功能重建”的重要臨床突破。[3]

在發布會上,院長詳細介紹了“間充質干細胞移植治療脊髓損傷”項目的申報背景及過程。他指出,傳統治療方法如手術和藥物往往無法顯著改善患者的病情,特別是對于神經信號通路的修復效果有限。基于此,賀院長帶領團隊開啟了干細胞療法的研究,希望通過精準的干細胞移植技術,重建受損神經系統的“通信網絡”,為患者提供新的治療途徑。
張偉主任在會上分享了項目的初步成果:參與臨床研究的6名脊髓損傷患者中,5例患者出現了神經功能的改善,4例患者運動功能顯著提升,其中2例患者的恢復情況尤為突出。一位完全性損傷患者在接受治療后,已經能夠在輔助下短暫站立,這表明細胞移植治療脊髓損傷具有可行性,并為進一步的臨床試驗提供了有力依據。
一名22歲的山西患者因高空墜落導致脊髓損傷癱瘓,術后下肢肌肉逐漸恢復力量,現已能夠自行滾背和跪立;另一位患者則在細胞移植術后一個月內擺脫拐杖,實現了獨立行走。
五、未來展望:從“功能改善”走向“精準重建”
盡管現有臨床研究已顯示干細胞治療在部分脊髓損傷癱瘓患者中具有改善自主神經功能和運動能力的潛力,但必須清醒認識到,這一領域仍處于持續探索階段。
未來的發展方向,主要集中在以下幾個方面:
1.細胞類型與組合策略不斷優化:不同干細胞在修復機制上各有側重。間充質干細胞更偏向免疫調節與微環境改善,神經干細胞更接近直接的神經替代。未來,通過多細胞聯合、細胞與生物材料協同,可能進一步提升神經重建效率。
2.與康復治療深度融合:越來越多研究表明,干細胞治療并非“單兵作戰”,而是需要與系統性康復訓練、電刺激、機器人輔助等手段協同,才能最大程度激活潛在神經通路,實現功能轉化。
3.時機與個性化:探索損傷后干預的“黃金時間窗”,并基于患者的損傷特征、免疫狀態等,制定個體化的細胞治療方案。
結語
“脊髓損傷后導致的癱瘓還能不能恢復?”從目前的醫學證據來看,答案或許不再是簡單的“能”或“不能”。
對于大多數患者而言,干細胞治療尚無法承諾完全逆轉癱瘓,但越來越多臨床研究正在證明:癱瘓并不意味著功能改善的可能性被徹底封閉。感覺恢復、自主神經功能改善、部分運動能力重建,正在從個案走向可重復觀察的臨床現象。
這并非奇跡,而是科學一點點向前推進的結果。
在規范監管、嚴格篩選適應證和長期隨訪的前提下,干細胞療法為脊髓損傷癱瘓患者打開了一扇新的窗口——它也許無法立刻讓人重新站立,卻正在幫助越來越多患者,重新掌控身體的一部分,重拾生活的主動權。
而這,正是再生醫學真正的意義所在。
參考資料:
[1]https://www.sciencedirect.com/science/article/pii/S1878875024018357
[2]https://sn.ifeng.com/c/8hWQMQCB97U
免責說明:本文僅用于傳播科普知識,分享行業觀點,不構成任何臨床診斷建議!杭吉干細胞所發布的信息不能替代醫生或藥劑師的專業建議。如有版權等疑問,請隨時聯系我。
掃碼添加官方微信