近期,《Neurocritical Care》期刊雜志上的一篇文章回顧了間充質干細胞治療急性腦出血的安全性和耐受性臨床試驗。

這項研究的總體長期目標是開發用于骨髓間充質干細胞治療急性腦出血的療法。這項先導研究的主要目標是確定在發病后7天內向住院的ICH患者施用同種異體骨髓間充質干細胞的安全性和可行性。
- 通過評估細胞輸注的耐受性和不良反應的發展來評估骨髓間充質干細胞療法的安全性。
- 通過評估招募的難易程度以及與細胞制備和輸注相關的技術問題來評估可行性。還確定了使用MSC療法治療近期腦出血的更大規模研究中未來結果評估的臨床參數和生物標志物。
結果表明:靜脈注射同種異體骨髓間充質干/基質細胞治療急性ICH患者是可行且安全的。
結論:未來需要進行更大規模的隨機、安慰劑對照ICH研究來驗證這項研究并確定這種治療方法在治療腦出血患者方面的有效性。
干細胞治療急性腦出血:9名患者表明干細胞治療是可行且安全的
什么是腦出血-目前治療腦出血的方法有哪些?
腦出血 (ICH) 是一種常見且致死率極高的中風亞型,其特征是出血進入腦實質甚至腦室。腦出血僅占所有中風的10%–15%,但卻是最致命的亞型之一,不到50%的患者在中風后1年內存活下來。ICH對黑人和亞裔美國人群的影響也尤為嚴重。腦出血的主要危險因素包括吸煙、大量飲酒和高血壓。神經系統惡化最初是由血腫擴張和占位效應引起的,伴隨功能性神經組織的破壞和顱內壓 (ICP) 升高。
此外,腦出血部位或周圍組織常出現水腫、氧化應激、伴有全身炎癥的神經炎癥、局部小膠質細胞活化以及血腦屏障漏。

早期腦出血干預策略包括氣管插管以保護和穩定氣道以防止和治療吸入性肺炎、急性血壓控制、對服用抗凝劑的患者進行抗凝逆轉、ICP治療,以及對于特定患者,可能進行神經外科血腫清除或放置腦室外引流管 (EVD) 以分流腦脊液并降低ICP。
盡管存在這些ICH干預策略,但ICH后的死亡率和發病率仍然很高。
迄今為止,美國食品藥品監督管理局批準的藥物和其他實驗療法的人體試驗未能找到改善ICH結果的合適候選藥物。ICH可引發損傷相關分子模式 HMGB-TLR4通路炎癥、NLRC4細胞焦亡的炎癥小體途徑和NLRP3介導的中性粒細胞網狀凋亡。在ICH、蛛網膜下腔出血以及許多其他人類疾病(包括2019年冠狀病毒病 (COVID-19) 和結直腸癌)中,越來越多地觀察到外周血中性粒細胞-淋巴細胞比率 (NLR) 升高。
間充質干細胞特征
間充質干細胞/基質細胞 (MSC) 已證實對ICH有多種潛在治療益處,包括再生、免疫調節和抗菌活性,通過旁分泌介導的細胞因子、生長因子、細胞外囊泡和抗菌肽信號傳導。MSC還表現出免疫逃逸表型,可以從多種組織類型(如骨髓、脂肪組織、臍帶)中分離。從臨床前動物模型和人體臨床研究獲得的數據已證實,MSC體內輸送時相對安全,且產生的不良事件 (AE) 很少。MSC的療效已在多種疾病中得到評估,包括心力衰竭、移植物抗宿主病和克羅恩瘺病,效果水平各不相同。

腦出血 (ICH) 患者可能受益于MSC療法,因為這種療法有可能平衡有害的炎癥級聯反應、抑制免疫細胞活化并誘導血腫部位和全身受損細胞、神經元和組織的再生。
臨床研究的背景
我們使用人類同種異體骨髓間充質干細胞/基質細胞在急性腦出血 (ICH) 患者群體中進行了初步 I 期劑量遞增、安全性和耐受性試驗。
臨床研究的方法
資格標準包括非創傷性幕上血腫小于60mL和格拉斯哥昏迷量表評分大于5。所有患者均在神經科學重癥監護室接受監測,以確認間充質干細胞/基質細胞輸注的安全性和耐受性以及不良事件。我們還探索了使用細胞因子作為生物標志物來評估對細胞療法的反應性。我們篩選了140名患者,將符合資格標準的9名患者分為三個劑量組:0.5百萬細胞/千克、1百萬細胞/千克和2百萬細胞/千克。
結果
患者人群
本研究招募了2018年1月1日至2020年10月31日期間發病后168小時內出現急性ICH的患者。9名患者(5名女性、4名男性)接受靜脈內MSCs治療,平均年齡(范圍)為61歲(36–84 歲)。
表1總結了人口統計學和臨床??特征。

F、女性、ICH、腦內出血、IVH、腦室內出血、M、男性、mRS、改良 Rankin 量表、M1、模型 1、M2、模型 2、MSC、間充質干細胞/基質細胞、NA、不可用、NIHSS、美國國立衛生研究院卒中量表、NLR、中性粒細胞-淋巴細胞比率、vol、體積
為了描述目的,患者按入組順序被賦予編號,并被連續分配到三組中的一組,每組三名。根據模型2分割,ICH體積范圍為0.1至54.9mL(平均ICH體積為23.5mL)。5名ICH患者受累于局限性腦葉,其余患者受累于基底神經節或外囊深處。3名患者的ICH位于丘腦(圖1),1名患者的血腫位于多個腦結構(即尾狀核、殼核和蒼白球)。平均而言,MSCs是在ICH后3天注射的。

間充質干細胞輸注的耐受性和結果
輸注后患者生命體征保持穩定。與基線值相比,輸注后15分鐘、30分鐘、1小時、1.5小時和2小時測量的收縮壓、舒張壓、心率、血氧飽和度和體溫沒有顯著差異(圖2a)。圖2b顯示了在第0、1、2、3和7天測量的實驗室值。白細胞計數、總蛋白、肌酐和鉀在正常生理范圍內,在第0天和第7天之間沒有明顯變化。
在整個評估期間,葡萄糖和肌酐水平高于既定閾值,但每天并沒有顯著變化。血小板計數是唯一從第0天到第7天顯著增加的實驗室值。在第0天和第7天之間沒有觀察到GCS、NIHSS和mRS評分的重大變化(圖2c)。

報告了15例不良事件,9名患者中有4例至少發生過一次不良事件(表2)。2例不良事件(13.3%)為輕度,7例(46.7%)為中度,6例(40.0%)為重度。只有一名患者發生了可能與MSC輸注有關的不良事件。該患者發燒,服用對乙酰氨基酚6天內退燒;傳染病檢查未發現任何來源。大多數不良事件(10例[66.7%])被確定與MSC輸注無關。9號患者出院后 7 天死亡;但獨立法醫確定其死因與MSC輸注無關。
結合臨床特征的探索性成像容積模型分析
ABC/2模型1和模型2分割方法均通過線性回歸顯示出ICH和IVH體積的良好相關性(圖3a、b)。與模型2分割體積方法(例如每CT15-20分鐘)相比,模型1ABC/2衍生的半定量方法和改進的Graeb IVH方法所需的時間更短(例如2-5分鐘)。有趣的是,將NIHSS評分與IVH體積M2方法進行比較顯示出線性相關性(R2=0.7217),并且當IVH小于20mL或大于20mL時,NIHSS評分似乎存在聚集性(圖3c)。PHE 分析顯示MSC注射劑量與PHE體積之間存在輕微的負相關關系。

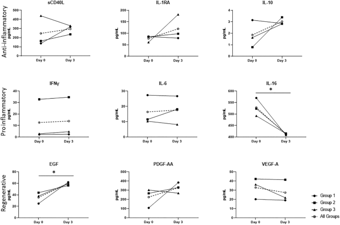
血漿中的生物標志物分析
在第0天和第3天分析血漿中關鍵細胞因子和趨化因子的存在和濃度(圖4)。評估的細胞因子包括抗炎介質,如可溶性CD40配體、白細胞介素1受體拮抗劑和白細胞介素10;促炎細胞因子,如干擾素-γ、IL-6和白細胞介素16 (IL-16);以及再生表皮生長因子 (EGF)、血小板衍生生長因子AA和血管內皮生長因子A。
總體而言,抗炎細胞因子的濃度從第0天到第3天增加。在促炎或再生細胞因子中未觀察到抗炎細胞因子的均勻反應模式;然而,從第0天到第3天,促炎IL-16有所減少,再生EGF有所增加。

討論
我們描述了在一項前瞻性、單組、劑量遞增臨床試驗中BM-MSC治療急性ICH患者的初步安全性和耐受性數據。基于我們的臨床前工作,鑒于越來越多的證據表明存在中樞神經系統和全身炎癥,我們假設BM-MSC可能為患有原發性損傷和繼發性腦損傷機制的ICH患者帶來多效性益處。鑒于沒有任何單一療法被證明可以改善ICH結果,使用BM-MSC對ICH采取多管齊下的方法似乎是合理的。努力仍側重于通過使用系統工程方法提供多管齊下、多學科的ICH治療,從院前階段開始,然后是院內和重癥監護、院后康復護理以及二級 ICH預防階段。
我們的初步結果似乎支持了我們的假設,即MSC療法在靜脈注射時通常是安全且可耐受的,總體而言,數據似乎與其他臨床前MSC數據一致。初步結果表明,應在更大規模、前瞻性、安慰劑對照的臨床試驗中測試MSC療法。未來的I期或II期試驗可以進一步驗證BM-MSC是安全且可耐受的假設,并且如果證據充足,可以開始評估結果差異。
結論
我們報告了三種劑量的骨髓間充質干細胞對急性腦出血患者的初步安全性和耐受性數據。報告的最常見不良反應是發燒,可用對乙酰氨基酚治療。
有必要進行進一步的大型隨機試驗來檢驗以下假設:BM-MSC輸注是一種安全、可耐受且可能有效的治療方法,可減少有害的炎癥級聯反應,與較新的MIS神經外科干預措施相結合可改善結果,并可能減少ICH周圍的PHE。
參考資料:Durand, N.C., Kim, H.G., Patel, V.N. et al. Mesenchymal Stem Cell Therapy in Acute Intracerebral Hemorrhage: A Dose-Escalation Safety and Tolerability Trial. Neurocrit Care (2023). https://doi.org/10.1007/s12028-023-01897-w
免責說明:本文僅用于傳播科普知識,分享行業觀點,不構成任何臨床診斷建議!杭吉干細胞所發布的信息不能替代醫生或藥劑師的專業建議。如有版權等疑問,請隨時聯系我。
掃碼添加官方微信