漸凍癥,學名肌萎縮側索硬化(ALS),是一種罕見且致命的神經系統疾病。它如同一場無聲的風暴,悄然侵襲患者的運動神經元,導致肌肉逐漸萎縮、無力,最終剝奪患者的肢體功能,甚至危及生命。面對這一殘酷的疾病,傳統醫學手段往往力不從心,患者和家屬只能在絕望中等待。然而,隨著干細胞技術的興起,一束新的希望之光正在穿透漸凍癥的黑暗,為肢體能力的恢復帶來了前所未有的可能。
近年來,科學家們將目光投向了干細胞治療漸凍癥的潛力,試圖通過移植干細胞來修復受損的神經細胞,重建神經連接,從而恢復患者的肢體功能。從實驗室的初步探索到臨床試驗的逐步推進,干細胞治療漸凍癥的研究正在不斷取得突破,一個個令人振奮的案例也逐漸浮出水面。這些案例不僅為患者帶來了身體上的改善,更為無數家庭點燃了希望的火種。

本文將通過臨床案例來證明干細胞治療漸凍癥,如何修復受損的肢體功能。
漸凍癥的突破:干細胞治療如何幫助患者修復受損的肢體功能?
首先干細胞治療修復受損肢體功能要通過機制的幫助,機制涉及多個層面,以下為詳細分析
細胞替代:干細胞具有分化為多種細胞類型的能力,包括神經元、星形膠質細胞和少突膠質細胞。在漸凍癥中,運動神經元的退化和死亡是疾病進展的關鍵因素。通過移植干細胞,可以補充丟失或功能受損的運動神經元,恢復神經回路的功能。
神經營養因子分泌:干細胞能夠分泌多種神經營養因子,如腦源性神經營養因子(BDNF)、神經生長因子(NGF)、神經營養因子-3(NT-3)和膠質細胞源性神經營養因子(GDNF)等。
免疫調節:漸凍癥的發病機制中存在顯著的炎癥反應,免疫系統對神經組織的攻擊加劇了疾病進展。間充質干細胞(MSC)具有強大的免疫調節能力,能夠減少促炎細胞因子的產生,抑制T細胞的活化,并增加抗炎細胞因子的水平。
詳情信息請點擊此處(干細胞治療漸凍癥的機制是什么?)
接下來我們通過臨床案例來分析,干細胞治療漸凍癥是如何改善患者的肢體功能的
臨床案例:間充質干細胞治療后,ALS-FRS-R 評分和 FVC 的每月下降率有更顯著改善
ALS功能評分量表(ALS-FRS)主要由四個球部-呼吸功能、兩個上肢功能(用餐具和穿衣)、兩個下肢功能(走路和爬樓梯)及兩個其他功能(穿衣及洗漱、床上翻身)組成。ALSFRS-R 可以評估呼吸道癥狀和患者執行獨立日常活動能力的受損程度。
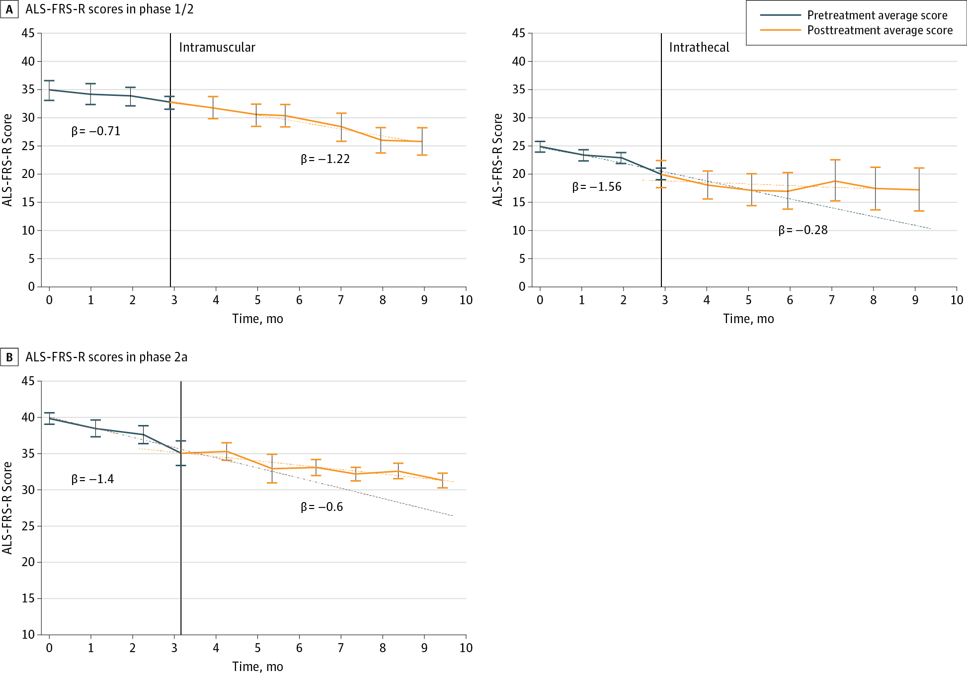
2016年3月,以色列耶路撒冷哈達薩-希伯來大學在國際期刊《JAMA Neurology》上發布了一篇《間充質干細胞移植治療肌萎縮側索硬化癥的安全性及臨床效果1/2 期和 2a 期臨床試驗結果》,研究的主要終點是該細胞療法的安全性和耐受性。次要終點包括治療對各種臨床參數的影響,例如 ALS 功能評定量表修訂評分和呼吸功能。

進行了一項 1/2 期研究,研究單次肌肉內 (IM) 或鞘內 (IT) 注射自體 MSC-NTF 細胞。在完成 24 名目標患者中的 12 名后進行了積極的中期安全性分析,之后該試驗轉變為 2a 期劑量遞增研究,通過肌肉內和鞘內聯合注射 MSC-NTF 細胞。
臨床結果表示:
將 MSC-NTF 細胞移植后 6 個月內 ALS-FRS-R 評分和 FVC(預測百分比)的變化率與 3 個月導入期的變化率進行了比較。在研究的 1/2 期部分,IT 隊列的 ALS-FRS-R 評分和 FVC 的平均每月進展率有所改善,但 IM 治療組沒有改善(圖1A 和圖2A)。
圖1:

在試驗的 2a 期階段,MSC-NTF 細胞移植后觀察到 ALS-FRS-R 評分和 FVC 的每月下降率有更顯著改善(圖1B 和圖2B)。未檢測到明顯的劑量效應。
圖2:

由于兩項研究中只有接受 IT 治療的患者似乎獲得了全身益處,因此對兩項研究中接受 IT 或 IT+IM 治療的患者在治療前和治療后期間的 ALS-FRS-R 評分和 FVC 進展率進行了事后比較,并進行了 6 個月的隨訪,使用具有患者隨機效應的分段線性回歸分析。
該分析顯示,FVC 進展率有統計學顯著改善,并且 ALS-FRS-R 評分進展率有改善趨勢(非常接近統計學顯著性)對于接受完整隨訪的患者。
臨床案例:骨髓間充質干細胞移植治療后,可以減緩疾病的進展,ALSFRS-R 改善
2021年12月,馬什哈德醫科大學免疫學研究中心在國際期刊《Regenerative Therapy》上發布了一篇《骨髓間充質干細胞移植治療肌萎縮側索硬化癥的安全性和有效性》的研究結果,本研究的主要目的是確定自體骨髓間充質干細胞(BM-MSCs)同時通過 IT 和 IV 應用對 ALS 患者進行的安全性和有效性。

臨床結果表示:
在應用骨髓間充質干細胞后,各個患者的 ALSFRS-R 值 3 個月內保持穩定(圖1B)。對所有患者的 ALSFRS-R 評分進行回歸分析表明,與植入前評分相比,BM-MSC 移植 1 個月和 3 個月后 ALSFRS-R 斜率沒有顯著降低(圖1A -B)。

患者在接受細胞治療的3個月內,FVC 的平均值保持穩定(圖1C-D)

本研究表明,對 ALS 患者同時進行骨髓間充質干細胞的 IT 和 IV 注射是一種安全的方法,沒有重大不良事件,并表明有潛在的臨床益處。在3 個月的隨訪中,ALSFRS-R 和 FVC 值在細胞治療后保持穩定。
總結
綜上所述,干細胞治療漸凍癥可以改善患者的肢體功能,并且呼吸道癥狀也得到了改善。干細胞治療漸凍癥所展現出的潛力,讓我們對未來充滿了期待。相信在不久的將來,隨著科學技術的不斷進步和研究的深入,干細胞治療將成為漸凍癥的有效治療手段,幫助更多的患者恢復肢體能力,重新擁抱美好的生活。在醫學科研人員的不懈努力下,漸凍癥患者終有一天能夠擺脫疾病的束縛,重獲行動自由,綻放生命的光彩。
免責說明:本文僅用于傳播科普知識,分享行業觀點,不構成任何臨床診斷建議!杭吉干細胞所發布的信息不能替代醫生或藥劑師的專業建議。
版權說明:本文來自杭吉干細胞科技內容團隊,歡迎個人轉發至朋友圈,謝絕媒體或機構未經授權以任何形式轉載至其他平臺,轉載授權請在網站后臺下方留言獲取。
掃碼添加官方微信